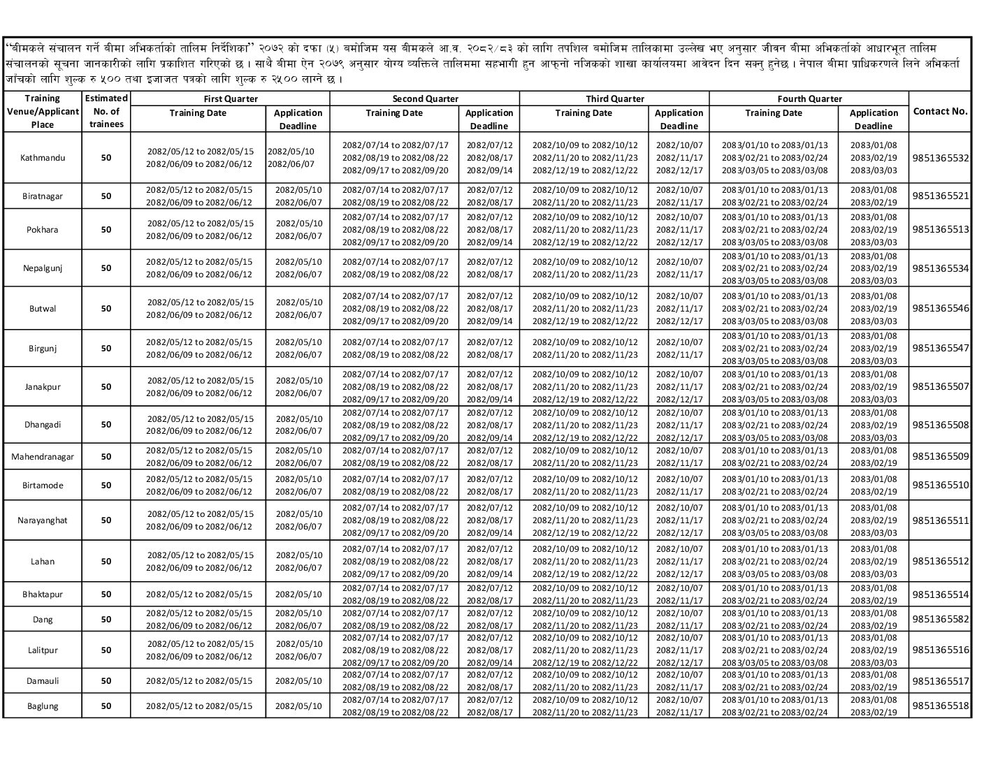
Agent Training

  • Agent Training 2080 Baishak-Jestha-Ashadh

  • Download
  • Agent-Training 2079 Baishak-Jestha-Ashadh

  • Download
  • Agent Training 2079 Falgun-Chaitra

  • Download
  • Agent Training 2078 Shrawan-Bhadra-Ashwin

  • Download
  • Agent Training 2077 Baishak-Jestha-Ashadh

  • Download